Correlation is a statistical measure that expresses the extent to which two variables are linearly related (meaning they change together at a constant rate). It’s a common tool for describing simple relationships without making a statement about cause and effect. To simply say, Variables X and Y are said to be positively correlated if high values of X go with high values of Y, and low values of X go with low values of Y. In case high values of X go with low values of Y, and vice versa, the variables are negatively correlated.
Click to download video
The Pearson correlation coefficient (r) captures the strength and direction of a linear relationship between two variables. Imagine a straight line: a correlation of 1 means the data points increase or decrease together perfectly on that line. Conversely, -1 indicates a perfectly opposite trend. A value of 0 means there's no linear connection between the variables. In essence, it tells you how closely two things change together in a straight line.
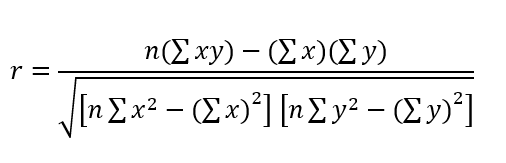
The following formula is used to calculate the Pearson Correlation coefficient (r):
Where x and y are variables and,
Go to: My Surveys » Select Survey » Analytics
Click on Correlation Analysis under the Analysis drop down.
Threshold section help user with the color coding of the cells which indicates the strength of the relationship between the variables. Direct correlation will have deafult set threshold to 0.65 and has 3 colors. If correlation coeffecient value is below 0.80 to 0.65(set threshold) cell will be colored with light green indicating low strength of relationship. If the value is between 0.80 to 0.90 cell is colored with medium green and if value is above 0.90 cell is colored with dark green indicating high strength of correlation between 2 variables.
In the above example, we find out the relationship between age and highest qualification, highest qualification and household income, age and household income is positive and color coded according to the strength of the relationship.
This implies there is very strong association between the variables. Any increase in one variable leads to increase in other. When user enables inverse correlation, Cells with inverse relation gets highlighted. We have similar buckets in inverse correlation. If correlation coeffecient value is below -0.80 to -0.65(set threshold) cell will be colored with light red indicating low strength of relationship. If the value is between -0.80 to -0.90 cell is colored with medium red and if value is above -0.90 cell is colored with dark red indicating high strength of correlation between 2 variables.
In the above example, we find out the relationship between age and gender, gender and highest qualification is negative and is color coded according to the strength of the relationship.
All multi choice questions are supported for correlation analysis.